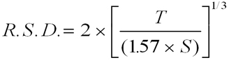
Determine Required Shaft Diameter:


D = Shaft Diameter(inches)
T = Required Torque (lb-in)
S = Allowable Stress (psi)